Konformitätserklärung / declaration of conformity

Ihr Browser kann keine PDFs anzeigen. Klicken Sie hier, um das PDF herunterzuladen.

Your Browser can't display PDFs. Click here to download the PDF file.

Anleitung

Troubleshooting

Konformitätserklärung

declaration of conformity

Prüfbericht - Nr.: 17030592 001

Report No.: 015413103a 001

Report No.: 0154128593a 001

Test Report No.: 0154119889b 001

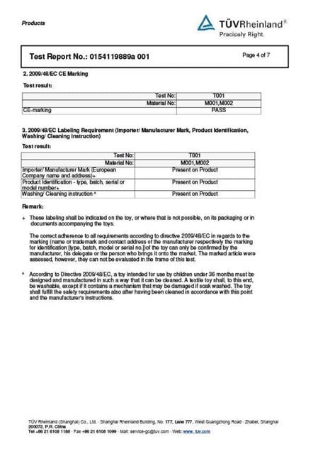
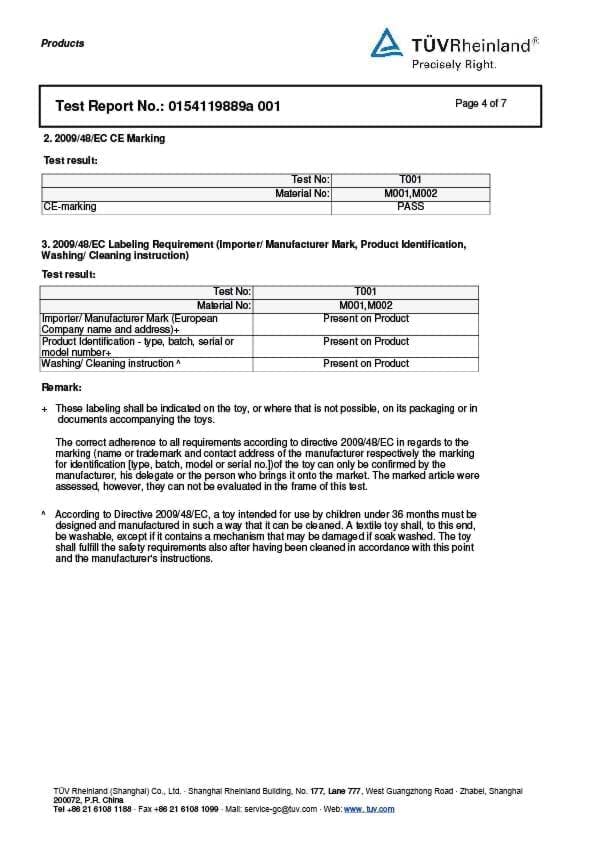
Report No.: 0154119889a 001